Evaluating Spatiotemporal Dynamics: A Comparative Study of Predictive Efficacy in Land Use Land Cover Change Models-Markov Chain, CA-ANN, and PLUS
The present investigation examines the modelling and prediction of Land Use and Land Cover (LULC) changes in Thailand's Samut Songkhram province using three LULC prediction models: Markov Chain (LCM), Cellular Automata with Artificial Neural Network (CA-ANN), and Patch-Generating Land Use Simulation (PLUS) and using Sentinel-2 data and the proposed technique. By comparing models, this study identifies land conversion patterns effectively in each land use character. This study is a helpful strategy for acquiring land use information quickly. The proposed approach is practical in two significant aspects: first, it accurately identifies land use variations, and second, it simulates future land use change distributions. The analysis demonstrates that land use patterns have changed in a balanced manner between 2019 and 2021. The results reveal that patterns' quality in types of artificial surfaces and water bodies are efficient classifications, with more than 80% with LCM and CA-ANN. Furthermore, researchers performed a comparative analysis of the proposed approaches against well-known models such as Markov Chain, CA-ANN, and PLUS in the research area for 2023. The comparison disclosed that the proposed approaches are predictable, and LULC change identification in the dynamics area is more realistic, especially when using initial variable inputs. Classified LULC for 2023 confirmed the recent trends, with increased artificial surfaces, tree-covered regions, water bodies, and other land covers, while herbaceous crops, woody crops, mangroves, and salt fields decreased. Even though the study focuses primarily on short-term LULC changes, it highlights the significance of expanding the analysis to include long-term forecasts for a more straightforward overview. These long-term predictions provide essential information for policymakers and planners, assisting them in developing long-term management strategies to navigate the study area's transfer environment.
EvaluatingSpatiotemporal Dynamics: A Comparative Study of Predictive Efficacy in Land Use Land Cover Change Models-Markov Chain, CA-ANN, and PLUS
Phonphan, W.,1* Arunplod, C.,2* Wongsongja, N.,1 Utarasakul, T.,1 Niemmanee, T.,1 Kayee, P.,1 Daraneesrisuk, J.3 and Thongdara, R.4
1Faculty of Sciences and Technology, Suan Sunandha Rajabhat University, Dusit, Bangkok, Thailand
2Department of Geography, Faculty of Social Sciences, Srinakharinwirot University, Watthana, Bangkok, Thailand,
3Remote Sensing and GIS (FoS), School of Engineering and Technology, Asian Institute of Technology, Klong Luang, Pathum Thani, Thailand
4Department of Civil and Environmental Engineering, Mahidol University, Salaya, Nakhon Pathom, Thailand
*Corresponding Author
Abstract
The present investigation examines the modelling and prediction of Land Use and Land Cover (LULC) changes in Thailand's Samut Songkhram province using three LULC prediction models: Markov Chain (LCM), Cellular Automata with Artificial Neural Network (CA-ANN), and Patch-Generating Land Use Simulation (PLUS) and using Sentinel-2 data and the proposed technique. By comparing models, this study identifies land conversion patterns effectively in each land use character. This study is a helpful strategy for acquiring land use information quickly. The proposed approach is practical in two significant aspects: first, it accurately identifies land use variations, and second, it simulates future land use change distributions. The analysis demonstrates that land use patterns have changed in a balanced manner between 2019 and 2021. The results reveal that patterns' quality in types of artificial surfaces and water bodies are efficient classifications, with more than 80% with LCM and CA-ANN. Furthermore, researchers performed a comparative analysis of the proposed approaches against well-known models such as Markov Chain, CA-ANN, and PLUS in the research area for 2023. The comparison disclosed that the proposed approaches are predictable, and LULC change identification in the dynamics area is more realistic, especially when using initial variable inputs. Classified LULC for 2023 confirmed the recent trends, with increased artificial surfaces, tree-covered regions, water bodies, and other land covers, while herbaceous crops, woody crops, mangroves, and salt fields decreased. Even though the study focuses primarily on short-term LULC changes, it highlights the significance of expanding the analysis to include long-term forecasts for a more straightforward overview. These long-term predictions provide essential information for policymakers and planners, assisting them in developing long-term management strategies to navigate the study area's transfer environment.
Keywords: CA-ANN, LULC, Markov Chain, PLUS, Spatiotemporal Dynamics
1. Introduction
For sustainable resource management and informed decision-making, it is now critical to comprehend and forecast changes in land use and land cover (LULC) in the rapidly changing Samut Songkhram province, Thailand. In order to evaluate the performance of three well-known LULC change models—Markov Chain, Cellular Automata with Artificial Neural Network (CA-ANN), and the Patch-Generating Land Use Simulation (PLUS) model-this study offers an extensive investigation. The present paper offers a comprehensive investigation of the PLUS model, CA-ANN, and Markov chain. Examining changes in land use has major benefits using these three models. Through the efficient integration of remote sensing (RS) and geographic information systems (GIS) technologies, they are able to robustly represent the spatial and temporal dynamics of land use changes, which is their greatest strength.
For the purpose of prediction and optimal control theory, the Markov model is a theory based on the generation of Markov random process systems [1]. The Markov model enables the measurement of conversion states between different forms of land use and provides information on the rates of transfer between them. It has become a crucial technique in geographic research since it is frequently used to forecast geographic features in the absence of unforeseen events. The Markov chain forecasts the next state and all subsequent states based on the current state by using transition probabilities, acting as an autonomous random process. With the exception of events that have aftereffects, this technique can accurately forecast regional characteristics. The significance of Markov chains is highlighted by their frequent applicability in land use change instances.
System spatiotemporal changes are well simulated through the Cellular Automata (CA) model, which is renowned for its strong spatial computing capabilities. Simulating self-replicating events within living systems, this discrete dynamic model accurately explains complex natural occurrences. Simple, accurate, and thorough representation of natural occurrences is made possible by CA, which is made up of rule-based processes and provides the rationality and viability needed to mimic complicated systems. Finite states, nearby interactions, discrete cells, and rule-based operations define a typical CA model. The present state and its surrounding environment, which are determined by a given transformation function, are what determine the next state cell [2].
The PLUS model consists of two sub-models: one uses a cellular automata model using multi-type random patch seeds (CARS), and the other uses a rule mining technique based on the Land Expansion Analysis Strategy (LEAS). This integrated model uses the random forest technique to detect changes in land use between two periods and investigate the relationship between these changes and driving factors. For every type of land use in the research area, LEAS computes growth probabilities. To model future land use patterns using CARS, these probabilities are then merged with pixel numbers of various land kinds, conversion matrices, and neighborhood weights for each land-use type. Within a framework of growth probabilities, CARS, which is characterized by spatiotemporal dynamics and temporal consistency, permits the unplanned development of new land use patches [3].
With the world undergoing unprecedented changes brought on by urbanization, population movements, and environmental factors, efficient methods for estimating spatiotemporal patterns in land use are becoming more and more crucial. To forecast future changes in land area, modeling land use and cover (LULC) is a crucial tool [4]. This research provides an example of how GEE is a powerful tool for land use and land cover analysis, helping to make data-driven decisions about urban growth and environmental monitoring in the context of spatiotemporal dynamics [5]. The main objective of this study is to publicize the performance of well-known LULC models. The debate is found in an aspect of the completeness, correctness, and quality assessment of these models. The advantages and their limitations are discussed in this study to convey to the future landscape of the province of Samut Songkhram.
Through an exploration of the complexities of these predictive models, this study hopes to provide significant additional knowledge about how effectively they predict changes in mangroves, salt fields, artificial surfaces, tree-covered areas, and various land cover types. Furthermore, this paper hopes to learn more about how well these models predict the loss of herbaceous and woody crops, mangroves, and water bodies. The foundation for a more thorough understanding is established by this research, which encourages the extension of analysis to long-term projections in addition to addressing short-term LULC alterations. This research provides a comprehensive understanding of the possible effects of different land use scenarios, which has important implications for planners and policymakers in Samut Songkhram province. In an effort to offer an effective structure for long-term management plans and well-informed decision-making in the face of changing spatiotemporal dynamics in the area, we evaluate and compare the predictive power of several models.
2. Materials
2.1 Study Area
The research site is situated in Samut Songkhram province, depicted in Figure 1, located in the western region of Thailand (13.242° N to 13.520° N and 99.852° E to 100.079° E) and encompassing an area of 420 km2. The boundary data for Samut Songkhram Province, Thailand, in Shapefile format was sourced from the Geo-Informatics and Space Technology Development Agency (GISTDA). The boundary is shown in red in Figure 1. This province exhibits distinct land-use characteristics, with an agricultural area comprising 68.22%, built-up areas occupying 15.24%, and forestry covering 6.79%. The total population of the province is 194,000 people, with a GPP of 20,400 million baht.
Figure 1: Study area located in Samut Songkhram province
The primary economic sectors driving the local economy encompass agriculture, fishery, and tourism, contributing a total of 12,600 million baht. Samut Songkhram features a coastal expanse along a segment of the Gulf of Thailand, with the Mae Klong River serving as the primary watercourse in the province's central region 6]. The Mae Klong estuary marks the convergence point between the Mae Klong River and the Gulf of Thailand, covered urban and aquaculture zones, rendering this area significant for fishing activities and aquaculture [7].
2.2 Datasets and Processing
2.2.1 Satellite data
The Sentinel-2 time series data images for 2019 and 2021 were used in this study to determine land use and land cover (LULC), spectrum covering visible bands, NIRs, and SWIRs with a spatial resolution of 10 meters. The images were acquired through the year of investigation, with cloud mask processing via the Google Earth Engine data hub. Sentinel-2 data in Google Earth Engine (GEE) are accessible in two distinct products, distinguished by the correction level of the image: L1C for top-of-atmosphere (TOA) reflectance and L2A for bottom-of-atmosphere (BOA) reflectance [8]. We used the L2A product for the year of 2019 and 2021 in this study, covering the Samut Songkhram province. We separate the period of imagery into three periods of each year defined as a beginning period (January-April), a middle period (May-August), and the end period (September-December). This dataset was made due to the product's capability to adequately represent the actual reflectance of land use and land cover. The image datasets had already been georeferenced, projected, and corrected for atmospheric conditions.
2.2.2 Elevation and slope
The Shuttle Radar Topography Mission (SRTM), which provides the digital elevation model (DEM) with a spatial resolution of 30-meter, was used to utilize the elevation and slope dataset in this study, depicted in Figure 2. This dataset resulted from international cooperation between the National Aeronautics and Space Administration (NASA), the National Geospatial-Intelligence Agency (NGA), and German and Italian space agencies. SRTM generated a near-global Digital Elevation Model (DEM) over a span of 11 days in February 2000, encompassing latitudes between 60°N and 56°S [9]. In addition, the SRTM Digital Elevation Data Version 4 is available on Google Earth Engine.
2.2.3 Distance from river and road
OpenStreetMap (OSM) is an international collaborative project for volunteer data founded in 2004 that aims to create an open-access world map. In this study, we integrated various OSM data based on 2023 as factors.
Figure 2: Explanatory variables (a) Elevation (b) Slope (c) Distance from streams (d) Distance from roads and (e) Distance from villages
Various topographic features, including houses, streets, waterways, railways, landmarks, and forests, are meticulously mapped by volunteers globally [10]. This study applied the OSM dataset and extracted specific information related to waterways and streets. Additionally, we digitized the road and stream details more through visual interpretation with satellite imagery of the completed dataset. Both datasets were then used in spatial analysis of Euclidean distance from polyline to find out the closest cells depicted in Figure 2.
2.2.4 Distance from village
The village locations in Samut Songkhram province were digitized using the topographic map from the Royal Thai Survey Department (RTSD), specifically the sheet series L7018. This map is accessible through the GISTDA Portal (https://gistdaportal.gistda.or.th/"). Additionally, the dataset underwent analysis using the Euclidean distance method to assess the distances from multiple village points. This analysis was conducted to address the proximity of these points to traditional living areas shown in Figure 2.
3. Methodology
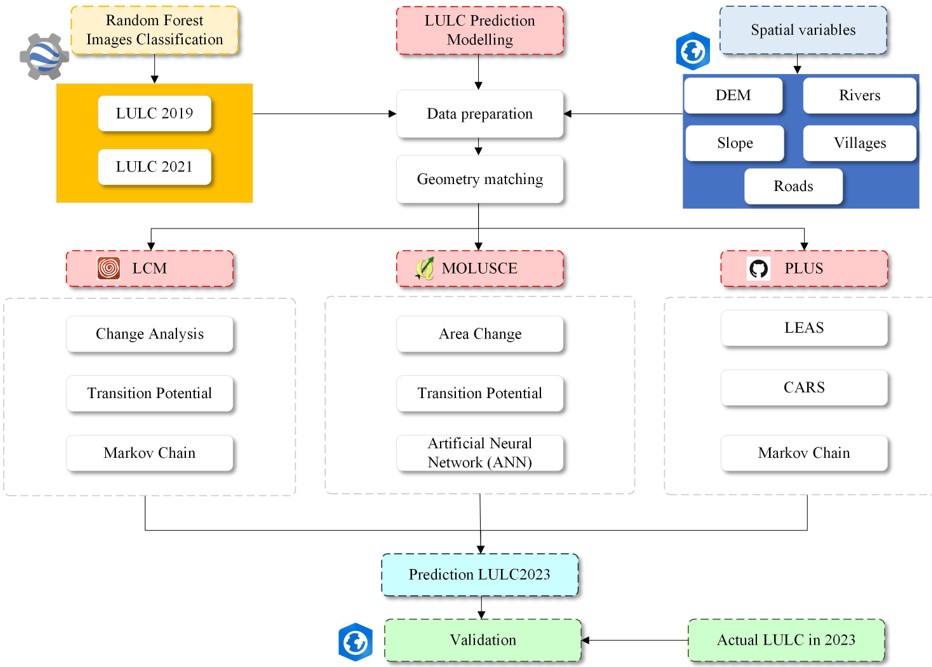
The methodology employed in this study is structured into four distinct sections. These include (i) the mapping of driving force variables for relative factors, (ii) Land Use and Land Cover (LULC) image classification, (iii) the implementation of three LULC prediction models: Markov Chain, CA-ANN, and PLUS, utilizing various software and plugins, and (iv) the subsequent evaluation and validation of these models for assessment. The overall workflow is illustrated in Figure 3.
3.1 Image Processing
Sentinel-2 time-series imagery acquired in 2019 and 2021 was sourced from the Google Earth Engine (GEE) platform for utilization in this research. The Level 2A product, known for its capacity to rectify geometric, radiometric, and atmospheric errors, was employed. Concurrently, measures were implemented to mitigate the impact of cloud cover in the imagery, ensuring an accurate representation of real reflectance conditions.
The random forest machine learning procedure was used to classify land use and land cover (LULC) throughout various time periods. This method is one of the most extensively used classifiers for image classification with remotely sensed data. The Random Forest method is a cutting-edge machine learning technique, particularly for LULC classification using multispectral and hyperspectral satellite sensor images. Random Forest, an extension of classification and regression trees, uses an ensemble learning approach to generate several decision trees by randomly bootstrapping training dataset samples. This method entails creating random binary trees that generate subsets of the training data, with out-of-bag data acting as the validation set. The number of trees (ntree) and the number of variables (mtry) are two critical Random Forest parameters that must be tuned. This classification process was facilitated through the application of a systematically curated training dataset. The delineation of LULC classes involved the identification of eight distinct categories: (1) Artificial surfaces, this class includes artificial surfaces such as urban buildings, concrete parks, industrial zones, and trash dump deposits. (2) Herbaceous crops, this land cover category includes cultivated herbaceous plants, such as non-perennial crops that do not survive more than two growing seasons. This class also includes cultivated herbaceous plants, such as non-perennial crops with a life cycle of two growing seasons or less.
These crops are normally picked for their upper sections, but the root systems can last for years. Sugarcane, paddy, and maize are some of these crops. (3) Woody crops, this class includes permanent crops, such as orchards and plantations that are not cut for harvesting. Examples include fruit trees, coffee and tea plantations, oil palms, and rubber plantations. (4) Tree-covered areas, this category includes any geographic location with more than 10% of natural tree plants, shrubs, and herbs that have a higher density than trees. It also includes trees for afforestation and forest plantation. (5) Mangroves, this category includes any geographic area with more than 10% woody vegetation that is constantly or sometimes flooded by salt and brackish water. (6) Water bodies, this category encompasses any geographic location that is primarily covered by inland water bodies throughout the year. (7) Salt fields, this class is about any place covered with salt from human activity and (8) Miscellaneous, this category comprises geographic areas dominated by natural herbaceous plants, shrubs, and vegetation that cover less than 10% of the land. The classified LULC outcomes for the period spanning 2019 to 2021 underwent validation through a comparative analysis with ground truth data. This rigorous validation process served as a pivotal step in establishing a reliable initial input for the subsequent prediction model.
Figure 3: The methodology workflow
3.2 LULC Prediction Models
Finding reliable models to forecast changes in land use has long been a goal of scientific inquiry. Many approaches have been used in several research areas to improve prediction capacities. Huang et al. applied Markov models using cellular automata to forecast changes in Beijing's land use. Their study demonstrated the applicability of the CA-Markov chain model in this setting by focusing on forecast changes in land cover in the area. Similarly, to forecast the development of different land use types in their research area over a certain timeframe, Xu et al. used the PLUS model, which combines the Land development Analysis Strategy (LEAS) with the Cellular Automata model of Multi-type Random Patch Seeds (CARS). Their findings showed a significant increase in simulation accuracy, with high kappa coefficients suggesting better prediction accuracy for urban and other land use patterns. Higher precision is still a struggle, though, even with these developments. For example, Gantumur et al.'s study on the urban growth rate of Ulan Bator has limitations; even with the use of cellular automata and artificial neural network approaches, the kappa coefficient only achieved just above 70%. It also suggests that, while some models may produce promising results, gaining ideal accuracy remains an important issue. Future research efforts may need to investigate novel techniques or modify existing methodologies in order to overcome these constraints and get higher prediction accuracy in land use change modelling.
3.2.1 Markov Chain (MC)
We used the Land Change Modeler (LCM) in TerrSet software to project the future change of LULC in Samut Songkhram province with historical land covers and spatial driving factors. The LCM was developed as an empirically parameterized land change projection tool. This modeler can help to support a wide range of planning activities based on an analysis of historical dataset, transition, a set of explanatory variables. Also, the Markov Chain (MC) are utilized to derive the relationship and a projection of quantity to map the future land activities [11]. The LULC datasets in 2019 (initial) and 2021 (final) were inputted to LCM in TerrSet software to compute the change analysis and determine spatial trends as well as gains and losses between two periods. Then, the explanatory variable datasets were performed to create potential transitions with Multi-Layer Perceptron Neutral Network (MLPNN). Various variables were identified as inputs to predict LULC maps that descriptive variables are indicators which can influence changes in each LULC class.
In the present study, the Cremer’s V coefficient was used to select the variables. After, we generated future prediction in 2023 by applying CA algorithm based on the extracted maps of LULC types for the past year (2019 and 2021).3.2.2 Cellular Automata Artificial Neural Network (CA-ANN)
The Modules of Land Use Change Evaluation (MOLUSCE) plugin within QGIS 2.18 software serves as a valuable tool for estimating potential LULC changes. Constructed with the Cellular Automata (CA) model, it incorporates a transition probability matrix. Furthermore, the Cellular Automata Artificial Neural Network (CA-ANN) model integrated into MOLUSCE, proves to be a dependable instrument for predicting future LULC patterns. This predictive capability is applicable to investigation, planning, and management activities across various, as facilitated by this tool. The spatial shifts in LULC within the model's predictions are determined by assessing the pixel's current condition, including the initial situation, neighboring events, and the governing changeover laws [12]. In this study, an examination of the tangible alterations in Land Use and Land Cover (LULC) between 2019 and 2021 was conducted within Samut Songkhram province. Subsequently, a transition matrix was generated based on the findings of this analysis. Two initial LULC datasets and five spatial variable datasets were inputted into the model to generate a comprehensive land cover change map, revealing the evolving patterns. Moreover, the transition probabilities obtained through the Multi-Layer Perceptron Artificial Neural Network (MLP-ANN) learning process were utilized to elucidate the dynamics of LULC changes observed. The transition potential maps, certain function, and simulated land use/cover map were generated under this component using the cellular automata approach.
3.2.3 Patch-Generating Land Use Simulation (PLUS)
The PLUS model integrates a land expansion analysis strategy (LEAS) and a Cellular Automata (CA) model based on multi-type random patch seeds (CARS). This fusion incorporates a novel multi-type seed growth mechanism and employs multi-objective optimization algorithms. The model is designed to uncover underlying patterns and their distinct contributions to changes in land use. Furthermore, it incorporates a novel data mining framework for identifying the rules governing land use change. Consequently, the model is anticipated to provide a more comprehensive exploration of the various factors influencing land use change [13] and [14].
In this study, different categories of land spanning the two phases of Land Use and Land Cover (LULC) change in 2019 and 2021 were utilized to extract expansion through the Land Expansion Analysis Strategy (LEAS). The added portions were sampled using a random forest algorithm to discern factors influencing the expansion of various types of LULC and their driving forces. Consequently, the probabilities of development expansion and the contributions of explanatory variables to the expansion of different land types during this period were derived from this analytical step. Subsequently, the Cellular Automata (CA) model, based on multi-type random patch seeds (CARS), was implemented. This model combines random seed generation and a threshold-decreasing mechanism. The PLUS model dynamically simulates the automatic generation of patches in both time and space, constrained by the development probabilities obtained in the earlier step. Therefore, the future LULC simulation in 2023 was performed in this framework.
3.3 Model Assessment and Validation
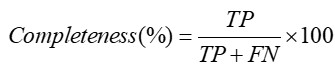
The validation of the prediction LULU map in 2023 obtained from LCM, MOLUSCE, and PLUS was done using the actual LULC in 2023 map. In this study, indices, including completeness, correctness, and quality, were used to quantitatively assess the forecast finding of these methods. The details of different indices used in this research are described below. The completeness index represents the percentage of features present in the source data that are accurately considered in the result. This index specifically discounts any impact from feature units that are related to other features and are incorrectly distinguished. Consequently, the completeness index is defined as defined in equation 1.
Equation 1
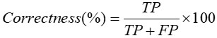
The correctness index serves as a metric for the accuracy of predictions. It represents the percentage of features detected in the results that align with the reference features. Notably, in this index, the presence of feature units in the source data that were not distinguished in the result does not impact the value of the correctness index. This index is defined as defined in equation 2.
Equation 2
The quality that pertains to the evaluation of finding of both correctness and completeness and is thus defined in equation3.
Equation 3
The true positive (TP) is defined as the count of units within a feature that both exist in the source data and are correctly identified in the findings, representing the number of features accurately detected. The false positive (FP) corresponds to the count of features that do not actually exist in the source data but are erroneously identified in the result as features. On the other hand, the false negative (FN) denotes the count of negative features present in the source data but overlooked or not identified in the result [15].
4. Results
4.1 The LULC Classification between 2019 and 2021
This section delineates the outcomes of the methods employed for the Land Use and Land Cover (LULC) classification in Samut Songkhram province during the period spanning 2019 to 2021. The results obtained through the Random Forest algorithm are specifically discussed. Figure 4 illustrates the LULC maps derived from the classification process, depicting distinct categories for the years 2019 and 2021. The change in LULC classes between 2019 and 2021 is depicted in Figure 5. It is observed that the artificial surface, water bodies, tree-covered areas, and miscellaneous might increase by 19.4 km2, 6.4 km2, 6.1 km2, and 0.2 km2, respectively, while woody crops mangroves, herbaceous crops, salt fields might decline by 22.5 km2, 3.6 km2, 3.4 km2, 2.6 km2, respectively. The analysis extends to examining the LULC changes as a percentage of the total land area. A positive value indicates an improvement in categorization, whereas a negative value signifies a deterioration in categorization.
4.2 The LULC Prediction in 2023
In this prediction phase, three models, namely Markov Chain from LCM, CA-ANN for MOLUSCE, and the PLUS model, were used for predicting the Land Use and Land Cover (LULC) map of Samut Songkhram province in 2023, as depicted in Figure 6. Subsequently, the LULC classification for the year 2023 revealed the following areas: artificial surfaces covering 78.9 km2, herbaceous crops spanning 58.2 km2, woody crops occupying 104.6 km2, tree-covered areas encompassing 22.5 km2, mangroves extending over 39.4 km2, water bodies comprising 99.0 km2, salt fields encompassing 9.3 km2, and miscellaneous areas covering 1.6 km2.
Figure 4: Land use land cover map of Samut Songkhram province (a) 2019 and (b) 2021
Figure 5: LULC Change analysis from 2019 to 2021
The LULC prediction for 2023, generated by the Land Change Modeler, produced the subsequent areas: artificial surfaces covering 98.4 km2, herbaceous crops spanning 61.5 km2, woody crops occupying 86.5 km2, tree-covered areas encompassing 10.8 km2, mangroves extending over 31.0 km2, water bodies comprising 112.4 km2, salt fields encompassing 11.8 km2, and miscellaneous areas covering 0.8 km2. The predictions from MOLUSCE for 2023 were as follows: artificial surfaces covering 101.8 km2, herbaceous crops spanning 54.2 km2, woody crops occupying 91.5 km2, tree-covered areas encompassing 8.6 km2, mangroves extending over 29.5 km2, water bodies comprising 117.1 km2, salt fields encompassing 10.0 km2, and miscellaneous areas covering 0.7 km2. Finally, the PLUS model predictions for 2023 were as follows: artificial surfaces covering 115.8 km2, herbaceous crops spanning 56.8 km2, woody crops occupying 74.1 km2, tree-covered areas encompassing 11.0 km2, mangroves extending over 28.5 km2, water bodies comprising 116.2 km2, salt fields encompassing 10.4 km2, and miscellaneous areas covering 0.6 km2 as illustrate in Figure 6.
Figure 6: Predicted LULC in 2023 from different techniques; (a) Actual classification (b) LCM (c) MOLUSCE and (d) PLUS
Also, the predicted LULC 2023 map by using these three models was validated with different validation techniques. In addition, the results of classifying LULC into all 8 classes using different methods were utilized. The classification results were compared and are presented in Figure 7. The study found that the classification of LULC classes; Herbaceous crop, Mangroves, Salt fields, Tree-covered areas, and Miscellaneous by all methods produced similar results [Figure 8].
For enhanced comprehension and comparative analysis of the methods, Table 1 displays the outcomes of completeness, accuracy, and quality indicators. This table serves to evaluate and compare the results of Land Use and Land Cover (LULC) prediction for the year 2023 using three distinct methods. The completeness, correctness, and overall quality of the validation methods are presented, with the highlighted blue numbers in the table signifying the most promising results. Consequently, it is observed that the accuracy of the Markov Chain method closely aligns with that of CA-ANN in LULC prediction models, while the PLUS method provides a satisfactory level of accuracy. In scenarios involving artificial surfaces, herbaceous crops, mangroves, water bodies, and salt fields, the Markov Chain methods exhibited the highest overall quality, with the PLUS model registering the lowest overall quality. Also, the CA-ANN method provides the highest overall quality for woody crops. Nevertheless, when considering tree-covered areas and miscellaneous categories, these exhibited the poorest overall quality across all methods in this study. This outcome is attributed to the limited presence of these specific LULC types within the province. Additionally, the random points for accuracy assessment in these classes were limited and lacking enough.
Figure 7: The comparison of LULC prediction from different methods in Samut Songkhram province
Figure 8: Accuracy assessment of LULC classification in 2019, 2021 and 2023
Table 1: Evaluation of the role of the methods in predicting the LULCs Blue numbers indicate the best results
|
Models |
Validation Methods |
LULC (%) |
||||||||
|
AS |
HC |
WC |
TC |
MG |
WB |
SF |
MC |
Average |
||
|
LCM (Markov chain) |
Completeness |
98.68 |
88.37 |
67.74 |
9.09 |
73.81 |
95.00 |
70.00 |
0.00 |
62.84 |
|
Correctness |
87.21 |
65.52 |
84.00 |
11.11 |
81.58 |
92.68 |
70.00 |
0.00 |
61.51 |
|
|
Quality |
86.21 |
60.32 |
60.00 |
5.26 |
63.27 |
88.37 |
53.85 |
0.00 |
52.16 |
|
|
MOLUSCE (CA-ANN) |
Completeness |
98.68 |
74.42 |
68.82 |
9.09 |
71.43 |
96.67 |
40.00 |
0.00 |
57.39 |
|
Correctness |
83.33 |
64.00 |
83.12 |
11.11 |
83.33 |
87.88 |
80.00 |
0.00 |
61.60 |
|
|
Quality |
82.42 |
52.46 |
60.38 |
5.26 |
62.50 |
85.29 |
36.36 |
0.00 |
48.08 |
|
|
PLUS |
Completeness |
90.79 |
60.47 |
44.09 |
9.09 |
59.52 |
90.83 |
40.00 |
0.00 |
49.35 |
|
Correctness |
66.99 |
50.98 |
70.69 |
11.11 |
86.21 |
84.50 |
33.33 |
0.00 |
50.48 |
|
|
Quality |
62.73 |
38.24 |
37.27 |
5.26 |
54.35 |
77.86 |
22.22 |
0.00 |
37.24 |
|
In brief, the results of the indices and the subsequent calculation of the average between the two methodologies, Markov Chain and CA-ANN, reveal a close similarity. However, the Markov Chain method exhibits a superior average in terms of completeness, correctness, and overall quality compared to CA-ANN. As a result, the simulation of artificial surfaces, herbaceous crops, mangroves, water bodies, and salt fields within LULC categories is better achieved with the Markov Chain approach. On the other hand, the performance of CA-ANN is comparable to that of Markov Chain. At the same time, the PLUS model demonstrates moderate performance, indicating a need for adjustments in certain prediction processing parameters within the model.
4.4 Discussion
The investigation of LULC changes in Samut Songkhram Province from 2019 to 2021 using 10-meter spatial data shows an important increase in artificial surfaces, water bodies, tree-covered areas, and miscellaneous. The development is mostly due to the province's growing population, which allows for further urbanization and residential expansion. These findings are consistent with the findings of a comprehensive investigation on demographic shifts observed across Thailand's provinces between 2010 and 2019. Samut Songkhram Province has a growing population, accounting for 71% of the province's total [16]. Regarding the GPP and the province's structure, it has been determined that the province has an agrarian economy and fewer municipalities than cities. Therefore, the province's urban areas have a large population and are important drivers of economic activity. There are public facilities for the residents in the surrounding area. As a result, it explains the rise in artificial surface areas. In addition, this tendency is consistent with the Land Development Department's (LDD) recommendations in the 2021 Agricultural Map Report [17], which encourages appropriate agriculture based on the criteria. It advises farmers to replace medicinal plants with high-value fruit plantations, including lychees, coconuts, and pomelos.
In this prediction phase, LULC classifications during this timeframe were employed to generate transition potential matrices for LULC changes using three distinct models and simulate future changes. Three models were used: (1) the Markov Chain from the Land Change Modeler (LCM), (2) the CA-ANN for MOLUSCE, and (3) the PLUS model to forecast the LULC of Samut Songkhram province for 2023. The LULC classification includes artificial surfaces (78.9 km2), herbaceous crops (58.2 km2), woody crops (104.6 km2), tree-covered areas (22.5 km2), mangroves (39.4 km2), water bodies (99.0 km2), salt fields (9.3 km2), and miscellaneous areas (1.6 km2). The Land Change Modeler's 2023 LULC prediction identified the following areas: artificial surfaces (98.4 km2), herbaceous crops (61.5 km2), woody crops (86.5 km2), tree-covered areas (10.8 km2), mangroves (31.0 km2), water bodies (112.4 km2), salt fields (11.8 km2), and miscellaneous areas (0.8 km2). MOLUSCE predicted the following areas for 2023: artificial surfaces (101.8 km2), herbaceous crops (54.2 km2), woody crops (91.5 km2), tree-covered areas (8.6 km2), mangroves (29.5 km2), water bodies (117.1 km2), salt fields (10.0 km2), and miscellaneous areas (0.7 km2). The PLUS model predicted the following areas for 2023: artificial surfaces (115.8 km2), herbaceous crops (56.8 km2), woody crops (74.1 km2), tree-covered areas (11.0 km2), mangroves (28.5 km2), water bodies (116.2 km2), salt fields (10.4 km2), and miscellaneous areas (0.6 km2). The expected LULC 2023 map derived from these three models was validated using various validation approaches.
Moreover, the results of classifying LULC into all eight classes using different methods were compared and are presented. The study found that the classification of herbaceous crops, mangroves, salt fields, tree-covered areas, and miscellaneous areas produced similar results across all methods. The overall quality of the simulated LULC patterns demonstrated an average exceeding 50%, excluding the PLUS model. Notably, certain LULC types exhibited prediction qualities surpassing 80%, particularly in the case of artificial surfaces and water bodies. Furthermore, we conducted a comparative analysis by applying the proposed methods alongside well-accepted models such as Markov Chain, CA-ANN, and PLUS to the study area for the year 2023. The comparison revealed that the proposed methods can simulate LULC dynamics more realistically, particularly when utilizing initial variable inputs. Previous research has shown that the impact of the LULC class area varies depending on the classification method used, including machine learning algorithms, predicting the LULC models, and typical classification techniques [18]. This study found that the results of the classification of the eight land use classes were not totally compatible with areas classified as the same land use class using other methodologies. The changes in the area under the LULC class across various models of classification were attributable to variances in model parameter modification, methodologies, and algorithm efficiency, respectively [19]. However, despite methodological differences, these approaches demonstrated similar prediction patterns, showcasing consistent outcomes in terms of complex interactions and competition within the LULC dynamics. In addition, the improvement of the open-source PLUS model for model’s applicability for higher resolution simulations is important. We can improve driving force factors relative to socio-economic and natural environmental factors such as population growth, GDP growth, technology, and climate scenarios [20].
5. Conclusion
The rapid land use change is critical to natural resource management and planning. Change detection or predictable change with speed and precision are challenging. This study focuses on the proposed effective and reproducible tools to analyze the causes and consequences of alternative future landscape dynamics. Our study simulated three LULC prediction methods for 2023 in Samut Songkhram province using initial LULC data from 2019 and 2021. LCM, CA-ANN (MOLUSCE), and PLUS prediction models have been investigated. This comparison focused on the rapid classification of LULC to carry out simulation and model assessment. An artificial surface (AS) and water body (WB) have remarkable results, more than 80% in LCM and CA-ANN (MOLUSCE). Without parameter adjustment for the model, the results demonstrated the potential for rapid build-up area identification. The increase in artificial surfaces may be attributed to demographic influences leading to land transformation for various purposes, including urban and settlement development. However, crop information is still challenging, according to crop characteristics. Notably, this research focused on short-term changes in land use and land cover (LULC). Additionally, the short LULC prediction was proven using data from 2019 and 2021. This result can be helpful information for planners or governments who need insight data for land management and policy. Extending the analysis to long-term predictions is advisable for a more comprehensive understanding and informed decision-making. Such long-term predictions can provide valuable insights for policymakers and planners, aiding in the formulation of sustainable management strategies for the ecosystem in the study area.
References
[1] Jiang, G., Zhang, F. and Kong, X., (2009). Determining Conversion Direction of Rural Residential Land Consolidation in Beijing Mountainous Areas. Transactions of the Chinese Society of Agricultural Engineering , Vol. 25(2), 214-221.
[2] Huang, Y., Yang, B., Wang, M., Liu, B. and Yang, X., (2020). Analysis of the Future Land Cover change in Beijing using CA–Markov Chain Model. Environmental Earth Sciences, Vol. 79(2). https://doi.org/10.1007/s12665-019-8785-z.
[3] Gao, L., Tao, F., Liu, R., Wang, Z., Leng, H. and Zhou, T., (2022). Multi-scenario simulation and ecological risk analysis of land use based on the PLUS model: A case study of Nanjing. Sustainable Cities and Society , Vol. 85, https://doi.org/10.1016/j.scs.2022.104055.
[4] Aldileemi, H., Zhran, M. and El-Mewafi, M., (2023). Geospatial Monitoring and Prediction of land Use/Land Cover (LULC) Dynamics Based on the CA-Markov Simulation Model in Ajdabiya, Libya. International Journal of Geoinformatics , Vol. 19(12). https://doi.org/10.52939/ijg.v19i12.2973.
[5] Ouchra, H., Belangour, A. and Erraissi, A., (2023). Comparing Unsupervised Land Use Classification of Landsat 8 OLI Data Using K-means and LVQ Algorithms in Google Earth Engine: A Case Study of Casablanca. International Journal of Geoinformatics, Vol. 19(12). 83–92. https://doi.org/10.52939/ijg.v19i12.2981.
[6] Arunplod, C., Phonphan, W., Wongsongja, N., Utarasakul, T., Daraneesrisuk, J. and Thongdara, R., (2023). Spatial Dynamics Evolution of Land use for the Study of the Local Traditional Living Changes. International Journal of Geoinformatics , Vol. 19(4). 37–49. https://doi.org/10.52939/ijg.v19i4.2635.
[7] Katnoum, C., Keetapithchayakul, T. S., Rahim, A. A. and Wongkamhaeng, K., (2023). A new species of Cerapus (Amphipoda, Senticaudata, Ischyroceridae) from Mae Klong Estuary, with a discussion on their nesting and types of mating behaviour. Zoosystematics and Evolution , Vol. 99(2), 557-574.
[8] Praticò, S., Solano, F., Di Fazio, S. and Modica, G., (2021). Machine Learning Classification of Mediterranean Forest Habitats in Google Earth Engine Based on Seasonal Sentinel-2 Time-Series and Input Image Composition Optimisation. Remote Sensing, Vol. 13(4). https://doi.org/10.3390/rs13040586.
[9] Nasiri, V., Deljouei, A., Moradi, F., Sadeghi, S. M. M. and Borz, S. A., (2022). Land Use and Land Cover Mapping Using Sentinel-2, Landsat-8 Satellite Images, and Google Earth Engine: A Comparison of Two Composition Methods. Remote Sensing, Vol. 14(9). https://doi.org/10.3390/rs14091977.
[10] Feldmeyer, D., Meisch, C., Sauter, H. and Birkmann, J., (2020). Using OpenStreetMap Data and Machine Learning to Generate Socio-Economic Indicators. ISPRS International Journal of Geo-Information , Vol. 9(9). https://doi.org/10.3390/ijgi9090498.
[11] Eastman, J. R. and Toledano, J., (2018). A Short Presentation of the Land Change Modeler (LCM). Geomatic Approaches for Modeling Land Change Scenarios , M. T. Camacho Olmedo, M. Paegelow, J.-F. Mas, and F. Escobar Eds. Cham: Springer International Publishing, 499-505.
[12] Kamaraj, M. and Rangarajan, S., (2022). Predicting the Future Land Use and Land Cover changes for Bhavani basin, Tamil Nadu, India, using QGIS MOLUSCE plugin. Environmental Science and Pollution Research , Vol. 29(57), 86337-86348, https://doi.org/10.1007/s11356-021-17904-6.
[13] Liang, X., Guan, Q., Clarke, K. C., Liu, S., Wang, B. and Yao, Y., (2021). Understanding the Drivers of Sustainable Land Expansion Using a Patch-Generating Land Use Simulation (PLUS) Model: A Case Study in Wuhan, China. Computers, Environment and Urban Systems, Vol. 85. https://doi.org/10.1016/j.compenvurbsys.2020.101569.
[14] Xu, L., Liu, X., Tong, D., Liu, Z., Yin, L. and Zheng, W., (2022). Forecasting Urban Land Use Change Based on Cellular Automata and the PLUS Model. Land, Vol. 11(5). https://doi.org/10.3390/land11050652.
[15] Asadi, M., Oshnooei-Nooshabadi, A., Saleh, S.-S., Habibnezhad, F., Sarafraz-Asbagh, S. and Van Genderen, J. L., (2022). Urban Sprawl Simulation Mapping of Urmia (Iran) by Comparison of Cellular Automata–Markov Chain and Artificial Neural Network (ANN) Modeling Approach. Sustainability, Vol. 14(23). https://doi.org/10.3390/su142315625.
[16] Bamrungkhul, S. and Tanaka, T., (2022). Until the Wilting Day: An Analysis of Urban Population Changes in Provincial Cities in Thailand from 2010 to 2019. Journal of Asian Architecture and Building Engineering, Vol. 22(3), 1244–1267, https://doi.org/10.1080/13467581.2022.2077736.
[17] Land Development Department (LDD), (2020). The Appropriate Agricultural Extension Guidelines According to the Agricultural Map, Agri-map: Samut Songkhram. BKK: LDD, [E-book] Available: http://www.ldd.go.th/Agri-Map/Data/C/skm.pdf.
[18] Abdi, A. M., (2019). Land Cover and Land Use Classification Performance of Machine Learning Algorithms in a Boreal Landscape Using Sentinel-2 data. GIScience & Remote Sensing,Vol. 57(1), 1–20. https://doi.org/10.1080/15481603.2019.1650447.
[19] Adam, E., Mutanga, O., Odindi, J. and Abdel-Rahman, E. M., (2014). Land-Use/Cover Classification in a Heterogeneous Coastal Landscape Using RapidEye Imagery: Evaluating the Performance of Random Forest and Support Vector Machines Classifiers. International Journal of Remote Sensing , Vol. 35(10), 3440–3458. https://doi.org/10.1080/01431161.2014.903435.
[20] Liu, X., Liang, X., Li, X., Li, X., Xu, X., Ou, J., Chen, Y., Chen, Y., Li, S., Wang, S. and Pei, F., (2017). A Future Land Use Simulation Model (FLUS) for Simulating Multiple Land Use Scenarios by Coupling Human and Natural Effects . Landscape and Urban Planning, Vol. 168, 94-116, https://doi.org/10.1016/j.landurbplan.2017.09.019.
Most read articles by the same author(s)
- C. Arunplod, W. Phonphan, N. Wongsongja, T. Utarasakul, T. Niemmanee, J. Daraneesrisuk, R. Thongdara, Spatial Dynamics Evolution of Land use for the Study of the Local Traditional Living Changes , International Journal of Geoinformatics: Vol. 19 No. 4 (2023): Volume 19, No. 4 April 2023 (Open Access with DOI)
- W. Phonphan, C. Arunplod, T. Niemmanee, N. Wongsongja, M. Worachairungreung, N. Kulpanich, O. Suwattano, Integration of Drone-based Imaging for Coastal Ecosystem Mapping: A Case Study of Shallow Coastal in Phang Nga Bay, Thailand , International Journal of Geoinformatics: Vol. 21 No. 1 (2025): Volume 21, No. 1 January 2025 Special Issue FOSS4G ASIA 2024
- S. Ninsawat, C. Arunplod, C. Losiri, C. Mozumder, Guest Editorial for Special Issue on FOSS4G ASIA 2024 , International Journal of Geoinformatics: Vol. 21 No. 1 (2025): Volume 21, No. 1 January 2025 Special Issue FOSS4G ASIA 2024