Mohd Rasu, M. S.,1 Suhandri, H. F.,2* Khalifa, N. A.,3,4 Abdul Rasam, A. R.2* and Hamid, A.
1Faculty of Civil Engineering and Built Environment, Universiti Tun Hussein Onn Malaysia, Batu Pahat, 86400, Malaysia
2School of Geomatics Science & Natural Resources, College of Built Environment, Universiti Teknologi MARA, Shah Alam, 40450, Malaysia.
3Smart Driving Research Centre, Faculty of Civil Engineering and Built Environment, Universiti Tun Hussein Onn Malaysia, 86400 Parit Raja, Batu Pahat, Johor, Malaysia
4Libyan Centre for Engineering Research and Information Technology, Bani Waleed 411, Libya
5Faculty of Technical Education and Vocational, Universiti Tun Hussein Onn Malaysia, Batu Pahat, 86400, Malaysia
*Corresponding Author
Malaysia suffers from annual floods in various places, sometimes affecting the environment, properties, and infrastructure. In this contribution, we attempt to provide a flood information system through the development of a flood risk map. The study was conducted in Maran district from 2017 to 2021 with the available data of Digital Elevation Model (DEM), land use map, topographic map, rainfall intensity, and soil type. The Geographic Information System (GIS) was integrated with the Multi-Criteria Decision Analysis (MCDA) to analyze the potential flood risk area. The distribution of rainfall intensity in the study area is developed using the Inverse Distance Weighted (IDW) interpolation method. The Analytic Hierarchy Process (AHP) is used to determine the weight value of flood hazard criteria. In our study area, there are some natural factors that determine flood risk, such as land use criteria (41.55%), terrain slope (28.95%), rainfall intensity (16.93%) and soil type (12.58%). The value of the consistency ratio is less than 10%, showing that the assessment for each criterion is consistent. It was found that the study area is likely to be at risk of flooding because it has a low slope, has clayey soils, has little vegetation, and is subject to heavy rainfall.
Keywords: Analytical Hierarchy Process, Digital Elevation Model, Flood Risk Map, Geographical Information System, Inverse Distance Weighted, Multi-Criteria Decisions Analysis
Malaysia is located in the equatorial region with a constant climate throughout the year. The region is characterized by high temperatures, high humidity, and heavy rainfall; the main factors that trigger the northeast and southwest monsoons. According to Hock [1], the average rainfall in Malaysia is 2500 mm per year. The annual northeast monsoon brings the heaviest rainfall from November to January and triggers flooding on the east coast and southern part of Peninsular and Island Malaysia. The floods occur because the widespread persistent periods of heavy rainfall cause runoff and rivers to exceed water depletion capacity. The scenario is exacerbated by floods that block the flow of water from rivers at the mouths of rivers, causing flooding in the surrounding areas. In addition, flooding is also caused by human activities, such as rapid and uncontrolled urban development, sewage system failure, structures that obstruct water runoff, and irregular waste disposal. The high frequency and widespread effects have a significant negative impact on people [2], such as economic losses, infrastructure failure, social unrest, and most importantly, floods will cause severe casualties [3]. Excessive heavy rainfall can also lead to other extreme disasters, such as flash floods in some areas that do not have an adequate drainage system or where the river cannot absorb the excessive amount of water.
The occurrence of flash floods can be determined by many aspects, such as the intensity of precipitation, the location and distribution of precipitation, land use and topography, the type and growth/density of vegetation, the type of soil and the water content of the soil, and the influences under which they can occur [4]. The analysis of Geographic Information Systems (GIS) and visual features has been used to predict flood-prone areas and produce flood maps [5]. GIS has proven to be an efficient tool for evaluating hydrological factors, especially in flood risk management. The website GIS can store attribute data in the form of maps and organize large databases. The occurrence of floods affects the country's economy as the government must spend a large amount to repair the damage caused by the floods. The Ministry of Irrigation and Drainage (DID) has implemented several flood mitigation projects to reduce the occurrence of floods, but floods are an unavoidable natural disaster. Due to the migration of people to cities, the risk of flooding in urban areas is increasing. This is because climate change, population growth, and economic boom put the area at risk of flooding [6]. Maran district is also affected by catastrophic floods. The famous Sri Marathandavar Aalayam temple near Sungai Jerik is affected by the major floods that occur in Maran district in 2021 [7]. The total damage is estimated to be more than RM 1 million as the temple building, cafeteria, dormitories, workers' quarters, office, kitchen, and priest's house were flooded and severely damaged by 3 meters deep murky water.
The initial objective of this study is to develop the flood risk map for the study area based on four flood hazard parameters, namely: Rainfall intensity, land use map, slope, and soil type, which provides reliable information to society, government, and the private sector about the occurrence of floods by creating a flood risk map integrated with a MCDA from GIS. While the latter objective is to evaluate whether involving those four significant parameters are sufficient enough to be used as analysis material in generating the flood risk map.
The use of GIS in flood studies combines hydrological and water balance models to predict floodplains for the future. For example, a study in Sungai Sembrong, Batu Pahat, Johor, the use of GIS to record and visualize the minimum and maximum rainfall data in January 2007 [8]. The information from the flood mapping can provide society with a visual representation of flood events in the immediate area. The society can access early warnings, prepare for the flood, and save their belongings.
The government or private sector can use the information from this study to create a safe evacuation plan for flood victims when flooding occurs. Flood mapping is conducted using the technology GIS to identify flood risk areas. These high-risk areas are also called flood-prone areas and can be defined as places with dangerous activities or violent activities [9]. Therefore, when studying flooding, it is important to look at the specific areas where flooding occurs. Mapping flood-prone areas benefits the infrastructure sector and can reduce risk. GIS is ideal for use in hydrological planning and urban planning to predict the actual flood situation, perform flood analysis, solve problems, and make rational, accurate and efficient decisions [10] and [11].
The selected study area is Maran district, one of the flood-prone districts in Pahang state. The district has an area of 1996 km2 and is located between Temerloh and Kuantan in the state of Pahang at 3° 34' 59.99" north latitude and 102° 45' 59.99" east longitude and has 112,300 inhabitants. Maran district consists of four sub-districts, namely Bukit Segumpal, Chenor, Kertau and Luit. Topographically, Maran district consists of a mountainous area and lowlands. Sungai Pahang is the main river basin in Maran, which affects most of the area in Maran district during floods. According to DID, the average annual rainfall in Maran district ranges from 1800 mm to 3000 mm per year, with most rainfall occurring between November and January. Maran district faces flood disasters almost every year. For the purpose of illustration, Figure 1 depicts the (unscaled) location of Maran district within the state of Pahang in Peninsular Malaysia.
There are several factors that influence flood vulnerability in the study area. There is no clear agreement on which criteria should be used in the assessment of flood vulnerability [12]. Nonetheless, several researchers frequently use some of the variables, indicating their importance in flood mapping. In addition, recent research has attempted to propose models with the smallest possible number of independent parameters that still provide very accurate results [13]. Some major factors contributing to flood hazards such as slope, annual rainfall, soil type, and land use map were selected. For the purpose of using the Analysis Hierarchy Process (AHP) approach, all of the above factors were represented in the form of a grid with 30 x 30 m cell size.
Figure 1: The (unscaled) location of Maran district (right) within the state of Pahang (middle), and in Peninsular Malaysia (left)
Table 1: List of various data sources used in this study
|
Criteria of Data |
Source |
|
Annual rainfall intensity (Year 2017, 2018, 2019, 2020, 2021) |
Department of Irrigation and Drainage (DID) |
|
Digital Elevation Map |
USGS EarthExplorer |
|
Land Use Map |
Copernicus Global Land Service |
|
Type of soil |
Digital Soil Map of the World (DSMW) |
|
Topographic Map |
Department of Survey and Mapping Malaysia (JUPEM) |
Data for this study were obtained from various institutions and online sources. The selection of spatial criteria is an essential step in spatial multicriteria decision analysis. The spatial data and their description are shown in Table 1. The geographic and tabular data were compiled in several steps. The criteria used in this study were selected according to the criteria relevant to the study area. Figure 2 shows the detail diagram of flood risk mapping development and expected results of this study.
Any type of data that directly or indirectly relates to a specific geographic area or location is called spatial data [11] and [14]. Spatial data can be used to perform spatial modelling integrated with GIS to define basic processes and attributes for a set of spatial features. The spatial data used for this study are DEM, land use, soil map, and annual precipitation data. The spatial modelling that was used with GIS can graphically prepare data to allow the researcher to better understand the simple numerical and textual data collected. Flood risk was classified from low to high for all spatial data.
2.2.1 Base map
The topographic map obtained from the Department of Survey and Mapping Malaysia (JUPEM) is used in QGIS as a base map for editing. The editing layer is used to create a basemap from the topographic map. The layer in the base map includes layer formats such as feature classes, shapefiles, web services, and rasters. The goal of the basemap is to provide the background and context of the visual data for display on a map. Figure 3 shows the basemap of the Maran district. Although flood areas are spread over regions, in this study we emphasize areas in Maran district where populations are concentrated. For that purpose, cities and villages are shown in Figure 3 as urban area.
2.2.2 Annual rainfall
Flooding is caused by a variety of factors, including heavy rainfall. Annual precipitation data for 2017 to 2021 were obtained from four hydrological stations in the study area of the DID. Mean annual precipitation was estimated for each station. The Inverse Distance Weighting (IDW) method in the QGIS toolbox was used to create the spatial interpolation surface for precipitation.
Figure 2: Diagram of flood risk mapping development
Figure 3: Base map of Maran district
Figure 4 shows the location of hydrological stations in Maran district. The average annual precipitation intensity data obtained from DID for the years 2017 to 2021 are shown in Figure 5. Spatial interpolation is a technique for estimating values at additional unknown locations by developing points with known values. In the IDW approach, sample points are weighted during interpolation such that the effect of one point relative to another decreases with distance to construct an unknown point value. The interpolation results are often presented in QGIS as a two-dimensional raster layout. The process of generating mean annual precipitation data using the IDW method was repeated for 2017 through 2021.
Figure 4: Location of hydrological stations
Figure 5: Annual rainfall intensity in Maran district during 2017 - 2021 [15]
2.2.3 Land Use Map
Flood risk mapping is primarily concerned with identifying the areas of zones that contribute to high vulnerability to flooding [16]. Floods in different locations with different characteristics have different impacts [17]. In this study, four classes of land use were identified, namely water bodies, urban areas, agricultural areas, and forest areas. Land use data for the study area were obtained from the Copernicus Global Land Service website [18]. This website provides biogeophysical products of the global land surface that can be used for work and research.
2.2.4 DEM and Slope Map
On the other hand, the Digital Elevation Model (DEM) takes an important part in hydrological and hydraulic modeling, especially in flood risk mapping [19]. DEM is a raster representation of the surface information of the earth's terrain. The data format used for this study, DEM, is the Shuttle Radar Topography Mission (SRTM) 30-m spatial resolution data from the United States Geological Survey (USGS) EarthExplorer website [20], which provides free access to DEM data for research purposes.
The purpose of the data from DEM is to determine the elevation and slope of the study area's terrain using the dataset of elevations in Cartesian coordinates. The elevation and contour of DEM can be clarified by changing the color to a different scale. One of the DEM products is the slope data that can be obtained from the dataset, which represents the rate of change of elevation for each DEM cell [21]. The raster data are processed in QGIS to generate the slope data. The slope angle can be used as a surface indicator to determine flood hazard [22]. The classification of flood risk according to the slope angle criterion is categorized as low, slightly low, medium, slightly medium, and finally high. The lowest ground surface has the highest potential for flood risk.
2.2.5 Soil type map
The type of soil map obtained at Digital Soil Map of the World (DSMW) is one of the most important factors in the occurrence of flooding, as it determines the water-holding capacity and permeability of the study area. According to the Soil Taxonomy of the United States Department of Agriculture (USDA), the infiltration of a soil type is determined by the classification values of the different classes, with the higher values showing a high degree of infiltration. The weighted soil map was created by assigning a value to each soil class, with the soil type with the highest potential to generate extremely high flood risk rated as 3 and the lowest capacity to generate flood risk rated as 1. In general, clay soils tend to drain more quickly than sandy soils during heavy rainfall events, and the volume of runoff also tends to be higher.
2.3 GIS Data Base
GIS is an information system that uses geographic data or spatial data that can be processed in various forms. GIS is different from other types of information because information can be linked or used as a reference to determine a location in space [11] and [23]. GIS is a tool or system that uses computers to collect, store, retrieve, analyze, and display spatial data from a map to the real world or from the real world in the form of a map [24].
There are several steps involved in converting spatial data for use in a GIS environment. QGIS V3.22.12 was used as a professional GIS package for manipulating and managing data in a GIS environment. QGIS is a free open-source geographic information system for creating, editing, visualizing, analyzing, and publishing geospatial data on Windows. The entire map with the four flood hazard criteria is converted to a raster to merge the layers for the flood risk index and flood mapping. The coordinate system used in the QGIS software is the World Geodetic System (WGS) 1984 ensemble (EPSG: 4326), which has a limited accuracy of 2 meters at best.
The pairwise comparison method is used to determine the weights for the criteria. This method compares the criteria and allows two criteria to be compared simultaneously. This method can be used to convert subjective relative importance ratings into a linear collection of weights. It was developed by Saaty [25] in the context of a decision-making process called the Analytical Hierarchy Process (AHP). The AHP provides a mathematical way to convert the matrix of pairwise comparisons of criteria into a vector of relative weights for the criteria that accepts the pairwise comparisons as input and produces the relative weights as output.
The four flood hazard criteria are compared using the pairwise comparison matrix shown in Table 2. Precipitation, land use, slope, and soil are listed in the column of the table and are compared with the criteria in the column. The total row value was calculated to complete the pairwise comparison matrix method.
After filling in the pairwise comparison matrix, the matrix value was normalized by adding the numbers in each column. Each value in the column was then divided by the column sum to obtain its normalized value. Table 3 shows the method of normalization matrix.
Table 2: Pairwise comparison matrix [26]
|
Criteria |
Rainfall |
Land Use |
Slope |
Soil |
|
Rainfall |
1 |
3 |
2 |
1/2 |
|
Land Use |
1/3 |
1 |
1/2 |
1/2 |
|
Slope |
1/2 |
2 |
1 |
1/3 |
|
Soil |
2 |
2 |
3 |
1 |
Table 3: Normalized matrix [26]
|
Criteria |
Rainfall |
Land Use |
Slope |
Soil |
Priority Vector |
|
Rainfall |
0.26 |
0.38 |
0.31 |
0.21 |
0.29 |
|
Land Use |
0.09 |
0.13 |
0.08 |
0.21 |
0.12 |
|
Slope |
0.13 |
0.25 |
0.15 |
0.14 |
0.17 |
|
Soil |
0.52 |
0.25 |
0.46 |
0.43 |
0.42 |
|
Total |
1.00 |
1.00 |
1.00 |
1.00 |
1.00 |
Table 4: Random index [25]
|
n |
1 |
2 |
3 |
4 |
5 |
6 |
7 |
8 |
9 |
10 |
|
RI |
0.00 |
0.00 |
0.58 |
0.90 |
1.12 |
1.24 |
1.32 |
1.41 |
1.45 |
1.49 |
The consistency of the comparisons was checked using the Consistency Ratio (CR). The CR must be less than 0.1 for the comparisons to be consistent and thus acceptable. Thus, the consistency of the pairwise comparison matrix is checked using the numerical index CR, which is defined as in equation 1:
Equation 1
Where:
CIis Consistency Index, RI is Random Index, whose value is determined by the number of samples (n). Equation 2 is used to determine the CI:
Equation 2
Where:
n is total number of criteria
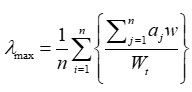
λmax is principal eigenvalue, which is defined as in equation 3
Equation 3
Where:
aj is element of pairwise matrix
j is row number of pairwise matrix
w is priority vector
W is criteria weight
t is corresponding criteria
The principal eigenvalue is obtained, as λmax= 4.165. The RI describes the consistency index of a randomly generated pairwise comparison matrix. The number of components that is compared determines the RI, which uses the values from Table 4. The CR was measured to determine the consistency of the assessment for all flood criteria. Assessment consistency is acceptable if the CR value is less than or equal to 10% [23]. The CR value is 6.1% and is included in the acceptance criterion.
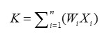
The flood risk index analysis is used to determine the flood risk value in the study area. The flood risk value was determined from the total value of the scores for the four flood hazard criteria. The flood risk index value K was calculated using quation 4:
Equation 4
With:
Wi is weighting value of criteria
Xi is influencing factors
In this contribution examine four types of flood hazard criteria only to develop the flood risk map. The land use map was generated from land use data obtained from the Copernicus Global Land Service website. The raster map DEM from USGS EarthExplorer was used to form the contour and slope map of the study area. Annual precipitation intensity data from 2017 to 2021 from DID were used to construct a precipitation map. The soil type data obtained from DSMW was used to visualize a soil type map distribution in the Maran district. All maps were merged to calculate the value of flood risk in the study area.
Figure 6 shows the land use map with a color indicator that classifies the land use area as forest (dark green), agriculture (light green), urban (red) and water body (blue). According to the pairwise classification, the water area has the highest flood risk value, followed by the city, agriculture, and finally forest. According to the AHP result, land use changes have the greatest impact on flooding and sedimentation in the study area.
Figure 6: Land use map of Maran district
Figure 7: Slope map of Maran district
Deforestation will lead to an increase in surface runoff that can cause flash flooding in urban areas. Usually, urban areas are prone to the effect of the flood due to the possible impact its cause in economy and living matters. During heavy rains, flood possibly hits if the urban wastewater or drainage system is unable to handle the amount of rainfall. The need for infrastructure due to development and land use changes resulting in more impervious surfaces is mainly responsible for increased flooding in urban areas. Land use conversion from forestland to agriculture, residential, or industrial are said to be a major cause of flooding disasters. Open land is prone to erosion because the soil has lost its ability to absorb water. Consequently, as surface runoff increases, peak runoff in the watershed also increases. [27][28][29] and [30].
The slope map in Maran district was formed using the elevation data from the DEM map. Figure 7 shows the slope map in Maran, where the red color indicates the high value of the slope angle, and the green color indicates the low value of the slope angle. The area with a high slope angle is not suitable for residential areas, while the area with a lower slope angle is suitable for urban and residential development.
Figure 8: Rainfall depth map of Maran district
The IDW function in QGIS was used to interpolate a point vector layer to create a precipitation intensity map. Four hydrologic stations in the study area were used as the point vector layer to interpolate the unknown value of the grid cells in the study area. All hydrological stations collected annual precipitation intensity data at a specific location in the study area. The map of precipitation intensity was constructed, where the red color indicator shows the high intensity of precipitation, and the green color indicator shows the low intensity of precipitation. The intensity of precipitation was divided into five categories, which are shown in the map in Figure 8.
In general, rainwater infiltration is also influenced by the types of soil. They determine the water storage capacity and the ability to retain water during rainfall [28] and [31]. In Maran district, particularly, soil permeability plays an important role in estimating the occurrence of flooding. When the soil is saturated, surface runoff increases. Larger particles such as sand and gravel have higher permeability than clay and silt. Figure 9 shows the distribution of soil types in Maran district, which generally composed of clay, loam, and sandy clay loam. Clay is known to have slow permeability, which makes the soil has big resistance to absorb running water. This condition, in other words, is known as low infiltration rates and resulting in rapid runoff during intense rainfall. While loam and sandy clay loam are classified in moderate permeability.
AHP was conducted to compare the flood hazard criteria with the total area and distribution of data to show the influence of flood risk. Table 5 shows the percentage influence of flood risk on the four flood hazard criteria. The flood risk areas are significantly influenced by soil type criteria (41.97%), followed by Rainfall intensity (28.92%), slope (16.78%) and the least influence of flood risk in the study area is land use criteria (12.33%). The value of CR from the priority matrix result is about 6.2%, which is acceptable because the value is less than 10%. Table 6 describes the percentages of four parameters in generating flood risk. Based on the previous AHP matrix for pairwise comparison in Table 2, the MCDA sorted from the parameters with the most likely influence to the parameters with the least influence. However, all these parameters influence each other proportionally. No parameter can stand alone as the sole factor for a flood event. Our result shows that the soil type criterion accounts for the highest percentage. Numerous studies have shown that soil type is an important factor for water absorption [32] [33] and [34]. Different surface types have different effects on runoff water. Soil with small pores tends to absorb water slowly.
Figure 9: Soil type map of Maran district
Table 6: Slope flood risk classification scores
|
Slope(o) |
Area (km2) |
Scores |
|
0-12 |
1725.78 |
5 |
|
12-25 |
158.81 |
4 |
|
25-37 |
82.65 |
3 |
|
37-49 |
24.84 |
2 |
|
>49 |
4.00 |
1 |
Table 7: Annual rainfall intensity flood risk classification scores
|
Rainfall depth (mm) |
Classification |
Scores |
|
≤1500 |
Low |
1 |
|
1500-2000 |
Slightly low |
2 |
|
2000-2500 |
Medium |
3 |
|
2500-3000 |
Slightly high |
4 |
|
>3000 |
High |
5 |
A simple example of this is the comparison between rock and sand. In the latter type of soil, water easily penetrates the soil. On the other hand, the ability of rock or small-pored soils to absorb runoff water is much lower. This phenomenon is easily observed in urban areas where the covers are covered with artificial materials.
Since the impermeable soil type occupies the highest percentage, the situation worsens when the rainfall intensity is high. In Malaysia, the average annual rainfall is about 3,085.5 millimeters, and the monthly rainfall is relatively constant throughout the year [35]. This factor is highly dependent on the study area. In higher latitude regions or subtropical continents, rainfall intensity may not be a dominant factor in flooding. The third and the last criteria are the slope and the land use. This is understandable because water has the natural property of seeking a lower area and spreading over the flat area. Consequently, if the runoff water has a relatively large volume, the lower and shallow areas will be affected by the flooding. However, slope is not a dominant factor affecting flood risk. Rather, it acts depending on the soil type and rainfall intensity.
Figure 10: Flood risk map of Maran district (period between 2017 - 2021)
The flood risk map is generated using QGIS software by combining the previous classification data. The overlay approach is used to create a map of potential flood risk using the four parameters: land use, slope, rainfall intensity, and soil maps, with the result being a weighted interaction score for each criterion. This analysis is performed to determine the value of flood risk in the study area. The total score and weighted criteria are used to obtain the flood risk value. The five levels of flood risk are shown on the flood risk impact map. As a result, Figure 10 showed the completed flood risk map using the QGIS software for year 2017.
The map in Figure 10 confirmed the potential of high-risk flood area along the river basin, which splits Maran district at southern area. If we look into detail, those regions (area with sharp red and brick colors) suffer from flood at the higher rate compared to other regions. All factors that we have highlighted such as type of soil, precipitation, slope, and land use contributed to risk of flood. By taking those factors into our spatial analysis, the generated flood risk map is expected to give more reliable information. It can be seen that some places with clay loam and sandy loam soil types are potentially drowned. This is due to the fact that Malaysia has high precipitation rates throughout the year and the topography of settlement areas in Maran district is relatively flat, with slopes generally up to 12 degrees (see Figure 7). At the same time, in reality that settlement areas, as a part of land use change, are viewed as an interest object of flood events due to their direct impact to economy and human activities. In addition, regions along the Pahang river are at a higher risk of flooding. Figure 10 automatically shows that the water bodies and the river have a more intense red color (very high index) compared to the areas in brick red color (high index). The result is obvious and therefore the base map is needed for further analysis among decision makers.
The flood risk map is variable for each year because the different annual rainfall intensity for each year affects the value of the flood risk index in the study area. From 2017 to 2021, urban and residential areas are likely to have a high and very high flood risk. This area is likely to be at risk of flooding due to clay soil, heavy rain, flat topography, and less vegetation. The high population density in the urban and residential area is also a factor in the high flood risk. The most vulnerable area is the residential area near the river because the flood can be destructive and affect social life. Moreover, Figure 11 tells us that the potential of flood risk occurs not only along the river basin area, as it is shown at the right diagram, but it also will affect wider area where the classified factors taken into account.
Figure 11: Comparison of the flood risk map generated by GIS (left) with the existing flood risk map (right) in Maran district
It gives different paradigm about the conception of GIS for flood risk map that a holistic spatial approach needs to be considered in building a reliable flood risk information system. It is trivial to know that the more parameters we consider, the more reliable information system can be built.
To evaluate the performance of the flood risk map we created, we compare it to the map created by the municipality of Maran district. Our flood risk map from Figure 10 is compared side by side with the existing map shown in Figure 11. The flood risk map with QGIS software shows that the value of flood risk area is divided into five levels: very high in red color, high in light red color, moderate in yellow color, low in light green color and very low in green color. The comparison shows that there are differences and similarities between flood risk areas in Maran. The difference between the flood risk mapping using QGIS software and the flood hotspots map from DID is mainly due to the different data sources used to determine the high flood risk locations. This study uses four flood risk criteria, namely slope, annual precipitation data, soil type, and land use map, while the flood hotspot map provided by DID is based on the 2017 to 2021 flood occurrence data in Maran district.
The accuracy of the flood risk map produced by QGIS software is higher than that of the flood hotspot map from DID, because the flood risk area is determined by variable factors that cause flooding. The flooding along the Pahang River caused by the actual event is similar to the result of flood risk mapping using QGIS. The area of Jengka River, Chenerai River, Jempol River and Kertam River also has similarities with the affected flood in QGIS map. The flood severity map of DID shows that the flood affected areas are highlighted in blue color. It is obvious that the flood risk map of DID was created considering only the areas along the river basins. We assume that the flood risk analysis was prepared along the main catchment area of Maran district. Therefore, we have a completely different approach, where the areas of the flood risk map are not created longitudinally along the river basins, but as a risk index based on different parameters.
However, it is quite difficult to compare our results with the actual ones because maps are not present after the event. To face this difficulty, we try another analogy to compare the probability of our result with the actual conditions in Maran district. As we know, the flood risk index is classified in different colors (see Figure 10). We know that the highest risk index is classified from red to green, which is the highest risk or the lowest risk index. We take some areas to validate our result, for example: Bandar Jengka and FELDA Ulu Jempol (labeled with A and B in Figure 11, respectively). From news in 2017, both areas were severely affected by floods. However, both areas were not marked as flood risk areas in the map of DID. Another way to verify our result is by adopting flood table catalogs between 2017 - 2021 released by the Department of Irrigation and Drainage, Malaysia [36] [37] [38] [39] and [40]. The catalogs contain the areas affected by the flood in Maran district. To determine the degree of similarity, we consider the regions shown in Figure 10 with a moderate to very high-risk index as potentially flooded.
Nevertheless, special attentions should be given to areas with categories of high and very high-risk. The one-to-one mapping shows that our flood risk map has over 75 percent similarity to the Maran County data, which is still below our expectation of at least 80 percent similarity or more. These percentages refer to the areas classified as high and very high-risk index in Figure 10, while the rest are in very low, low, and moderate-risk index according to our map. The areas along the Pahang Basin are classified in the very high-risk index category, as shown in Figure 10. This means that the information contained in our map is still considered suboptimal. The suboptimal similarity of the result is understandable since we use only four criteria to create the flood risk map. Nevertheless, the studied method can be considered a success, even though it considers only a minimum of four criteria. It is important to note that the spatial data such as the DEM and the land use map are imported from open service providers under the U.S. government agency and the European Commission, which means that we have limitations in terms of spatial resolution. This study has also shown that integrating GIS and MCDA could map and analyze the potential flood risk area for a better natural disaster planning and mitigation [41][42] and [43].
As a conclusion in our preliminary result of integrating the GIS and MCDA, flood risk maps can be produced and used as monitoring tools. A flood risk map indicates flood risk locations and provides important data for mitigation measures. The result of this study achieved the first objective by creating the flood risk map for 2017 to 2021 to analyze and compare with the actual flood event. Data on land use, slope, rainfall intensity from 2017 to 2021, and soil type were collected to create a five-year flood risk map. The results of the map show that the floodplain develops differently in each year due to the different annual rainfall intensity. The flood risk weighing value for land use, slope, soil type, and rainfall intensity can be determined by the MCDA method. There are more flood vulnerability criteria that can be used as a parameter to measure the risk value of flood occurrence in the study area, such as elevation, distance to the river, and Topographic Wetness Index (TWI) to get better and more precise results, but this study is focusing on the use of the MCDA method in GIS system to generated flood risk map in the study area. The value of the flood risk index can be determined by calculating the total sum of the points and the weighted parameters. The flood risk map for the study area can be obtained from the flood index value. The map view was improved by the color-coded classification of the flood risk index as very low, low, moderate, high, and very high.
We have also shown here that, despite a similarity of less than 80 percent, the four main parameters for the preparation of a flood risk map are considered satisfactory to show the basic concept of AHP analysis in the preparation of the flood risk map. Therefore, it is important to conduct some tests in the future either relying strictly on the four significant parameters but with higher spatial resolution of the data or keeping the standard spatial data but including some additional parameters in the AHP. The accuracy of the information provided, and the reliability of the map depend not only on the parameters included in the AHP analysis, but also to a large extent on the spatial accuracy of the map and the quality of the input data of the AHP parameters.
It is important to note that the four parameters we included in the analysis steps of AHP and MCDA in this study are able to show the preliminary flood risk map for the mitigation plan. It opens higher options to include more parameters and better spatial resolution of the maps.
Communication of this research is made possible through monetary assistance from the Universiti Tun Hussein Onn Malaysia and the UTHM Publisher's Office through the Publication Fund E15216.
[1] Hock, S. S., (2007). The Population of Peninsular Malaysia . Institute of Southeast Asian Studies. 1- 342.
[2] Jongman, B., Winsemius, H. C., Aerts, J. C. J. H., Coughlan De Perez, E., van Aalst, M. K., Kron, W., and Ward, P. J., (2015). Declining Vulnerability to River Floods and the global benefits of adaptation. Proceedings of the National Academy of Sciences, Vol. 112(18). https://doi.org/10.1073/pnas.1414439112.
[3] Ekmekcioglu, M., Koc, K., and Ozger, M. (2020). District Based Flood Risk Assessment in Istanbul using Fuzzy Analytical Hierarchy Process. Stochastic Environmental Research and Risk Assessment, Vol. 35(3), 617-637. https://doi.org/10.1007/s00477-020-01924-8.
[4] AlMahasneh, L., Abuhamoor, D., al Sane, K. and Haddad, N. J., (2021). Assessment and Mapping of Flash Flood Hazard Severity in Jordan. International Journal of River Basin Management, Vol. 21(2), 1-15. https://doi.org/10.1080/15715124.2021.1981354.
[5] Ozkan, S. P. and Tarhan, C. (2016). Detection of Flood Hazard in Urban Areas Using GIS: Izmir Case. Procedia Technology, Vol. 22, 373-381. https://doi.org/10.1016/j.protcy.2016.01.026.
[6] Güneralp, B., Güneralp, N. and Liu, Y., (2015). Changing Global Patterns of Urban Exposure to Flood and Drought Hazards. Global Environmental Change , Vol. 31, 217-225. https://doi.org/10.1016/j.gloenvcha.2015.01.002.
[7] Alagesh, T. N. (2021). Maran Temple Catastrophic Flooding Results in over RM1 Million Losses. New Straits Time. Available: https://www.nst.com.my/news/nation/2021/01/656697/maran-temple-catastrophic-flooding-results-over-rm1-million-losses, [Access date: January 21, 2021.
[8] Kamin, M., Ahmad, N. F. A., Razali, S. N. M., Hilaham, M. M., Rahman, M. A., Ngadiman, N. and Sahat, S., (2017). Geographical Information System (GIS) Application for Flood Prediction at Sungai Sembrong. AIP Conference Proceedings, Vol. 1891(1). https://doi.org/10.1063/1.5005404.
[9] Cambridge, M., (2010). Flood Control Measures at UK Tailings Management Facilities. Managing Dams Challenges in a Time of Change , 199-209. https://doi.org/10.1680/mdctc.40991.0017.
[10] Masiri, I., Janjai, S., Nunez, M. and Anusasananan, P., (2017). A Technique for Mapping Downward Longwave Radiation Using Satellite and Ground-Based Data in the Tropics. Renewable Energy, Vol. 103, 171-179. https://doi.org/10.1016/j.renene.2016.11.018.
[11] Monir, N., Rauf Abdul Rasam, A., Ghazali, R. Suhandri, H. F. and Cahyono, A., (2021). Address Geocoding Services in Geospatial-Based Epidemiological Analysis: A Comparative Reliability for Domestic Disease Mapping. International Journal of Geoinformatics, Vol. 17(5), 156-166. https://doi.org/10.52939/ijg.v17i5.2029.
[12] Tehrany, M. S., Pradhan, B. and Jebur, M. N., (2014). Flood Susceptibility Mapping Using a Novel Ensemble Weights-of-Evidence and Support Vector Machine Models in GIS. Journal of Hydrology, Vol. 512, 332-343. https://doi.org/10.1016/j.jhydrol.2014.03.008.
[13] Campolo, M., Soldati, A. and Andreussi, P., (2003). Artificial Neural Network Approach to Flood Forecasting in the River Arno. Hydrological Sciences Journal , Vol. 48(3), 381-398. https://doi.org/10.1623/hysj.48.3.381.45286.
[14] Zola, A. and Fontecchio, M., (2021). Spatial Data. Search Data Management. Available: https://www.techtarget.com/searchdatamanagement/definition/spatial-data.
[15] Department of Irrigation and Drainage Malaysia, (2022). The Official Web of Public infobanjir. Available online: https://publicinfobanjir.water.gov.my.
[16] Norman, L., Huth, H., Levick, L., Shea Burns, I., Phillip Guertin, D., Lara-Valencia, F. and Semmens, D., (2010). Flood Hazard Awareness and Hydrologic Modelling at Ambos Nogales, United States-Mexico Border. Journal of Flood Risk Management, Vol. 3(2), 151-165. https://doi.org/10.1111/j.1753-318x.2010.01066.x.
[17] Farhadi, H. and Najafzadeh, M., (2021). Flood Risk Mapping by Remote Sensing Data and Random Forest Technique. Water, Vol. 13(21), https://doi.org/10.3390/w13213115.
[18] Copernicus Global Land Service. (2019). Available: https://lcviewer.vito.be/2019.
[19] Xu, K., Fang, J., Fang, Y., Sun, Q., Wu, C. and Liu, M., (2021). The Importance of Digital Elevation Model Selection in Flood Simulation and a Proposed Method to Reduce DEM Errors: A Case Study in Shanghai. International Journal of Disaster Risk Science , Vol. 12(6), 890-902. https://doi.org/10.1007/s13753-021-00377-z.
[20] United States Geological Survey. Available e: https://earthexplorer.usgs.gov/.
[21] Pachri, H., Mitani, Y., Ikemi, H., Djamaluddin, I. and Morita,
A., (2013). Development of Water Management Modeling by using GIS in
Chirchik River Basin, Uzbekistan.
Procedia Earth and Planetary Science
, Vol. 6, 169-176.
https://doi.org/10.1016/j.proeps.2013.01.023.
[22] Pradhan, B. and Youssef, A., (2011). A 100-year maximum flood susceptibility mapping using integrated Hydrological and Hydrodynamic Models: Kelantan River Corridor, Malaysia. Journal of Flood Risk Management , Vol. 4(3), 189-202. https://doi.org/10.1111/j.1753-318x.2011.01103.x.
[23] Ruslan, R. and Noresah, M. S., (1998). Geographical Information System . Dewan Bahasa dan Pustaka.
[24] Burrough, P. A., (1986). Principles of Geographical. Information Systems for Land Resource Assessment. Clarendon Press, Oxford.
[25] Saaty, T. L., (1990). How to Make a Decision: The Analytic Hierarchy Process. European Journal of Operational Research , Vol. 48(1), 9-26. https://doi.org/10.1016/0377-2217(90)90057-i.
[26] Rozallienny, Z., (2017). Development of Flood Risk Map at Kuantan Using Geographical Information System . UTM Master Thesis. 1-86.
[27] Rogger, H., Agnoletti, M., Alaoui, A., Bathurst, J. C., Bodner, G., Borga, M., Chaplot, V., Gallart, F., Glatzel, G., Hall, J., Holden, J., Holko, L., Horn, R., Kiss, A., Kohnova, S., Leitinger, G., Lennartz, B., Parajka, J., Perdigao, R., Peth, S., Plavcova, L., Quinton, J. N., Robinson, M., Salinas, J. L., Santoro, A., Szolgay, J., Tron, S., van den Akker, J. J. H., Viglione, A. and Bloschl, G., (2017). Land use change Impacts on Floods at the Catchment Scale: Challenges and Opportunities for Future Research. Water Resource Research , Vol. 53, 5209-5219. https://doi.org/10.1002/2017WR020723.
[28] Basri, H., Syakur, S., Azmeri, A. and Fatimah, E., (2022). Floods and their Problems: Land uses and soil types perspectives. 3rd International Conference on Agriculture and Bio-industry 2021. IOP Conf. Series: Earth and Environmental Science , Vol. 951. https://doi.org/10.1088/1755-1315/951/1/012111.
[29] Sugianto, D., Deli., A., Miswar, E., Rusdi, M. and Irham, M., (2022). The Effect of Land Use and Land Cover Changes on Flood Occurrence in Teunom Watershed, Aceh Jaya. Land, Vol. 11(8). https://doi.org/10.3390/land11081271.
[30] Widodo, T. N., Zubair, H. and Padjung, R., (2021). Land Use Change Study and the Increased Risk of Floods Disaster in Jeneberang Watershed at Gowa Regency, South Sulawesi, Indonesia . 6 th International Conference on Climate Change 2021. IOP Conf. Series: Earth and Environmental Science 824 (2021). 1-9. https://doi.org/10.1088/1755-1315/824/1/012045.
[31] Wang, Z., Chen, X., Qi, Z. and Cui, C., (2023). Flood Sensitivity Assessment of Super Cities. Scientific Reports, Vol. 13(5582). https://doi.org/10.1038/s41598-023-32149-8.
[32] Getahun, Y. S. and Gebre, S. L., (2015). Flood Hazard Assessment and Mapping of Lood Inundation Area of the Awash River Basin in Ethiopia Using GIS and HEC-GepRAS/HEC-RAS Model. Journal of Civil & Environmental Engineering , Vol. 5(4). https://doi.org/10.4172/2165-784x.1000179.
[33] Prachansri, S., (2007). Analysis of Soil and Land Cover Parameters for Flood Hazard Assessment - A Case Study of the Nam Chun Watershed, Phetchabun, Thailand . Master Thesis. The International Institute for Geo-information Science and Earth Observation, ITC. Enschede, The Netherlands.
[34] Rodriguez, S., Ulloa, M., Perez, Y., Rodriguez, L., Guevare, F., Arias, I., Conci, M., Tamagno, M., Mercado, A., Travieso, M., Tamayo, L. and Fonseca, M., (2016). Disturbances Caused by Floods in Three Physical Properties of a Vertisol Soil in the East Region of Cuba, Cultivated with Sugarcane (Saccharum spp.). HOLOS, 4, 115-129. https://doi.org/10.15628/holos.2016.4658.
[35] World Bank, (2021). Malaysia-Current Climate. Available online: https://climateknowledgeportal.worldbank.org/country/malaysia/climate-data-historical.
[36] Jabatan Pengairan dan Saliran Malaysia. (2018). Laporan banjir tahunan bagi tahun 2016/2017. Available online: http://h2o.water.gov.my/man_hp1/Banjir_Tahun1617.pdf.
[37] Jabatan Pengairan dan Saliran Malaysia. (2018). Laporan banjir tahunan bagi tahun 2017/2018. Available online: http://h2o.water.gov.my/man_hp1/LBT2017-2018.pdf.
[38] Jabatan Pengairan dan Saliran Malaysia. (2018). Laporan banjir tahunan bagi tahun 2018/2019. Available online: http://h2o.water.gov.my/man_hp1/LBT2018_2019.pdf.
[39] Jabatan Pengairan dan Saliran Malaysia. (2021). Laporan banjir tahunan bagi tahun 2020. Available online: http://h2o.water.gov.my/man_hp1/LBT2020.pdf.
[40] Jabatan Pengairan dan Saliran Malaysia. (2022). Laporan banjir tahunan bagi tahun 2022. Available online: http://h2o.water.gov.my/man_hp1/LAPORAN%20BANJIR%20TAHUN%202021%20FINAL%20e-ISSN.pdf.
[41] Adnan, N. A., Atkinson, P. M., Yusoff, Z. M, and Rasam, A. R. A., (2014). Climate Variability and Anthropogenic Impacts on a Semi-Distributed Monsoon Catchment Runoff Simulation. 2014 IEEE 10th International Colloquium on Signal Processing and its Applications, Kuala Lumpur, Malaysia , 178-183. https://doi.org/10.1109/CSPA.2014.6805743.
[42] Taileh, V., Abdul Rasam, A. R., Lin, S., Adnan, N. A. and Ghazali, R., (2023). Path Analysis for Alternative Safe Route Access During Floods in Kota Kinabalu, Sabah. AIP Conf. Proc., Vol. 2881(1). https://doi.org/10.1063/5.0169044.
[43] Abdul Rasam, A. R., Taileh, V., Lin, S., Adnan, N. A. and Ghazali, R., (2023). Integrating Spatial Cost Path and Multi-Criteria Analysis for Finding Alternative Routes During Flooding. Planning Malaysia , Vol. 21(26). https://doi.org/10.21837/pm.v21i26.1264.